ERBB2&ERBB4 Dimerization CHO
CBP74451
詢 價
索取Protocol
產品描述
產品數據庫
| I. Background | |
| HER2 基因屬于人表皮生長因子受體家族之一(ErbB 家族),該家族由 EGFR、HER2、 HER3 和 HER4 四個高度同源的蛋白成員組成,控制著細胞生長、存活分化和遷移。與其 他三個成員不同的是,HER2 蛋白在本質上是一個孤兒受體,缺乏特異性配體,是唯一 一 個可以與家族其他成員結合形成二聚體結構的受體。 HER2 蛋白在與細胞外配體結合后,受體二聚形成異二聚體,隨后自身磷酸化,進而激活細胞內信號通路,如絲裂原活化蛋白激酶/ERK 通路、磷脂酰肌醇 3 激酶/Akt/mTOR 通 路等,下游信號通路的激活可調節細胞增殖、生存、以及腫瘤細胞的轉移等。HER2 在正 常情況下表達低或不表達,但在各種實體瘤中經常過表達,HER2 與多種癌癥相關,包括 乳腺癌、胃癌、結腸癌、膀胱癌、卵巢癌、子宮內膜癌、肺癌等。 |
|
| II. Description | |
ERBB2&ERBB4 Dimerization CHO 報告基因藥靶模型很好的模擬了體 內 ERBB2&ERBB4 的信號轉導過程,原理見圖所示。![]() Figure 1. ERBB2&ERBB4 Dimerization CHO 細胞模型原理圖 |
|
| II. Introduction | |
| Expressed gene: | ERBB2&ERBB4 |
| Stability: | 32 passages (in-house test, that not means the cell line will be instable beyond the passages we tested.) |
| Freeze Medium: | 90% FBS+10% DMSO |
| Culture Medium: | F12K+10% FBS+5 μg/ml Puromycin+5 μg/ml Blasticidin |
| Mycoplasma Testing: | Negative |
| Storage: | Liquid nitrogen |
| Application(s): | Functional(Report Gene) Assay |
| III. Representative Data | |
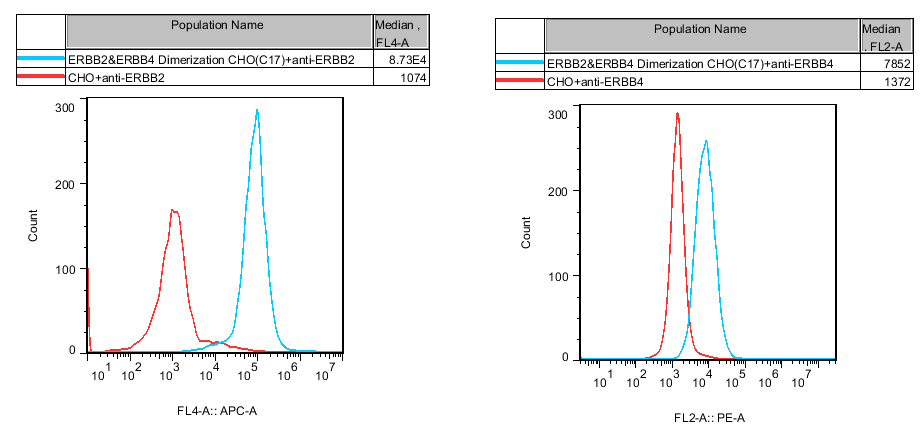
![]() Figure 2. Recombinant ERBB2&ERBB4 Dimerization CHO stably expressing ERBB2&ERBB4. ![]() Figure 3. Dose Response of Ligands in ERBB2&ERRB4 Dimerization CHO(C17). |
|

Figure 4. Inhibition of Human NRG1-β1 induced ERBB2&ERBB4 Dimerization by ERBB2 Abs in ERBB2&ERBB4 Dimerization CHO ( C17).

Figure 5. Inhibition of Human NRG1-β2 induced ERBB2&ERBB4 Dimerization by ERBB2 Abs in ERBB2&ERBB4 Dimerization CHO( C17).


